Toán Thcs
chap ôn thi toán 9(p1)
Kudo shinichi (t/g)
Vô học đê mấy phen
Kudo shinichi (t/g)
Hôm nay sẽ đi một mạch lên lớp 9 luôn
Kudo shinichi (t/g)
Tui sẽ cố để các bạn hiểu bài nhất có thể
Kudo shinichi (t/g)
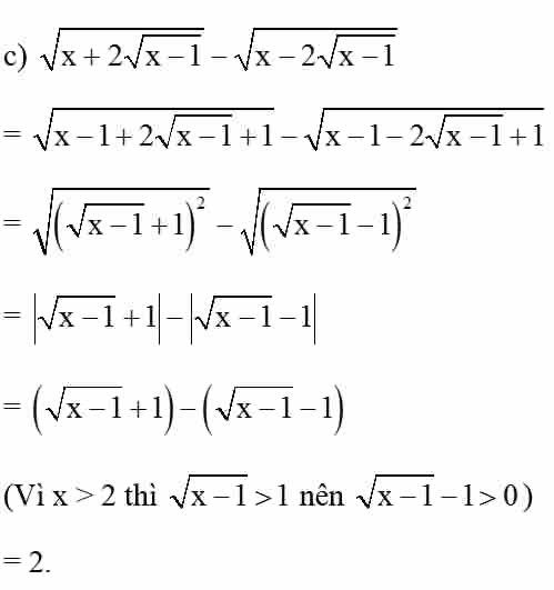
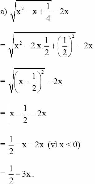
a) Kiến thức cần nhớ.
- Căn bậc hai của một số a không âm là số x sao cho x2 = a.
Số a > 0 có hai căn bậc hai là √a và -√a , trong đó √a được gọi là căn bậc hai số học của a.
- Căn bậc ba của một số thực a là số x sao cho x3 = a
Kaishin
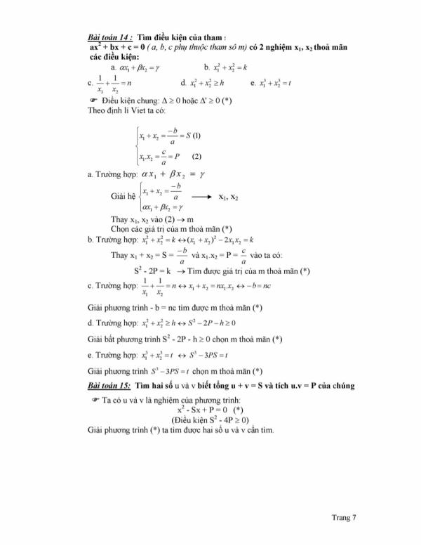
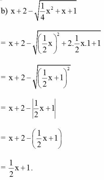
b) Phương pháp giải:
- Sử dụng các hằng đẳng thức để biến đổi biểu thức trong căn.
Các nàng chắc ai cũng biết hết ha
Hakuhei
Tìm điều kiện xác định (nếu đề bài không cho) đây là phương pháp rút gọn biểu thức chứa căn bậc hai
- Đưa các biểu thức trong căn về dạng A2; A3; ... để đơn giản các biểu thức rồi thực hiện rút gọn.
Lưu ý:
Kudo shinichi (t/g)
Thử ví dụ nè
Kudo shinichi (t/g)
Đối chiếu đáp án sau nha
Kaishin
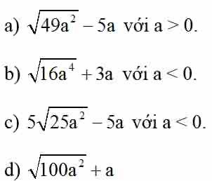
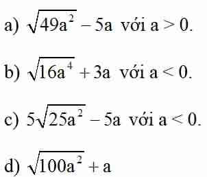
a) Phương pháp Rút gọn biểu thức chứa căn thức bậc hai lớp 9 cực hay = |7a| - 5a = 7a – 5a = 2a (vì a > 0).
b) Phương pháp Rút gọn biểu thức chứa căn thức bậc hai lớp 9 cực hay = |4a2| + 3a = 4a2 + 3a (vì 4a2 ≥ 0 với mọi a).
c) Phương pháp Rút gọn biểu thức chứa căn thức bậc hai lớp 9 cực hay = 5.|5a| - 5a = 5.(-5a) – 5a = 30a (vì a < 0).
d) Phương pháp Rút gọn biểu thức chứa căn thức bậc hai lớp 9 cực hay = |10a| + a .
- Nếu a < 0 thì |10a| = -10a , do đó √100a2 + a = -10a + a = -9a
- Nếu a > 0 thì |10a| = 10a , do đó √100a2 + a = 10a + a = 11a .
Hakuhei
Còn tụi tui nãy giờ
Kudo shinichi (t/g)
Thì kệ chứ sao
Kudo shinichi (t/g)
Các bạn nhớ ôn cho kĩ còn liệu mà thi
Kaishin
Kai: vk ơi tha anh
Kaishin
Kai: ko dám chơi ngu nữa đâu
Kudo shinichi (t/g)
Anh nhớ cho kĩ đó nha
Kudo shinichi (t/g)
Có chỗ nào thi chưa
Kudo shinichi (t/g)
Chưa thi thì nhớ vô đây shin ôn bài cho
Kudo shinichi (t/g)
Ê cái tên này
Kudo shinichi (t/g)
Nhớ học đó giờ thì tiếp tục
Kudo shinichi (t/g)
Làm thử mấy bài này ik
Kudo shinichi (t/g)
À lỡ cho đáp án òi
Kudo shinichi (t/g)
Thôi kệ
Kudo shinichi (t/g)
Rối ko
Kudo shinichi (t/g)
Tất nhiên là có
Hakuhei
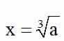
1. Đại số: Nội dung kiến thức từ chương I đến hết chương III.
2. Hình học: Nội dung kiến thức từ chương IV đến hết chương V.
Hakuhei
Đây là phần cần ôn
Sang chap sau là có đề cương
chap đề thi toán 9
Kudo shinichi (t/g)
Dậy đê ông cháu ơi
Kudo shinichi (t/g)
Đối thủ tụi bay dậy sớm để ôn đề rồi kìa
Kudo shinichi (t/g)
Lets go
Kudo shinichi (t/g)
Hơn 1:12 ngồi cày đề cho tụi bay
Kudo shinichi (t/g)
Giờ sẽ đi kiếm đề nha
Kudo shinichi (t/g)
Đề uy tín nhá
Kudo shinichi (t/g)
Chap sau có đáp án giờ thì sang chap khác

Kudo shinichi (t/g)
I. Chữ Nôm là gì?
- Chữ Nôm còn được gọi là Quốc âm hay Quốc ngữ là loại văn tự ngữ tố - âm tiết dùng để viết tiếng Việt. Đây là bộ chữ được người Việt tạo ra dựa trên chữ Hán, các bộ thủ, âm đọc và nghĩa từ vựng trong tiếng Việt.
II. Các giai đoạn phát triển của chữ Nôm
- Giai đoạn hình thành và phát triển:
Ban đầu khi mới xuất hiện, chữ Nôm thuần túy mượn dạng chữ Hán y nguyên để ghi âm tiếng Việt cổ (mượn âm Hán để chép tiếng Quốc âm). Phép đó gọi là chữ “giả tá” (假借). Dần dần phép ghép hai chữ Hán lại với nhau, một phần gợi âm, một phần gợi ý được dùng ngày càng nhiều và có hệ thống hơn. Phép này gọi là “hài thanh” hoặc “hình thanh” (形聲) để cấu tạo chữ mới.
- Trước thế kỉ 15: Người xưa đã bắt đầu sử dụng chữ Nôm để ghi chép lịch sử, văn thơ.
- Thế kỷ 15–17: Chữ Nôm “phồn thịnh”, phần lớn thi văn lưu truyền bằng chữ Nôm.
- Thế kỷ 18–19:
+ Dưới triều đại nhà Tây Sơn, do sự hậu thuẫn của Quang Trung hoàng đế, toàn bộ các văn kiện hành chính bắt buộc phải viết bằng chữ Nôm trong 14 năm, từ 1788 đến 1802. Thời kỳ cuối của chữ Nôm xuất hiện nhiều tác phẩm thi ca như hát nói, thơ hàn luật, song thất lục bát, lúc bát.
+ Đối ngược lại tài liệu văn học thì triết học, sử học, luật pháp, y khoa và ngữ học tuy có được ghi lại bằng chữ Nôm nhưng tương đối ít.
Kudo shinichi (t/g)
Ko biết đủ chữ chưa ta
chap ôn thi lớp 9(p3) chữa đề
Kudo shinichi (t/g)
VÔ HỌC ĐÊ NGHỊCH GÌ NỮA
Kudo shinichi (t/g)
E hèm hôm nay chữa đề nhá
Kudo shinichi (t/g)
Ờm đề 1 hay 2 tui lỡ tay xoá òi
Kudo shinichi (t/g)
Chữa đi nhá
Kudo shinichi (t/g)
Chuyên mục buôn chuyện và viết cho đủ chữ
Kudo shinichi (t/g)
Mé hôm nọ thi toán
Kudo shinichi (t/g)
Có 9 điểm
Kudo shinichi (t/g)
Cay vô đối
Kudo shinichi (t/g)
Đứa bên cạnh hơn tận 0,25
Kudo shinichi (t/g)
Cay ko thể hết
Kudo shinichi (t/g)
Xong trộm vía là mấy môn trả rồi chưa môn nào dưới 9
Kudo shinichi (t/g)
Nhưng chưa môn nào 10
Kudo shinichi (t/g)
Khoa học tự nhiên
Kudo shinichi (t/g)
Điểm có thể cao nhất khối
Kudo shinichi (t/g)
Nhưng vẫn cay
Kudo shinichi (t/g)
Thêm 0,25 nữa là tròn
Kudo shinichi (t/g)
Đau đớn
Kudo shinichi (t/g)
Tuy là nguyên khối có mỗi mình 9,75
Kudo shinichi (t/g)
Nhưng lại bị cùng điểm 5 vào sổ với mấy đứa điểm 9
Kudo shinichi (t/g)
Tui ko hề cay
Kudo shinichi (t/g)
Đóng trong ngoặc kép á
Kudo shinichi (t/g)
Sherlock holmes ý hay thế mà t/g lại là người ghét chính đứa con tinh thần của mình
Kaishin
Kai: vk ơi đừng Sherlock holmes nữa đc ko
Kudo shinichi (t/g)
Thôi các bạn thi đi nhá

Kudo shinichi (t/g)
+ Trong những văn bản hành chính thường nhật như sổ sách, công văn, giấy tờ, thư từ, khế ước, địa bạ v.v. chỉ đôi khi xen chữ Nôm nếu không thể tìm được một chữ Hán đồng nghĩa để chỉ các danh từ riêng (như tên đất, tên làng, tên người), nhưng tổng thể vẫn là văn bản Hán Việt.
- Thời kì suy giảm: Dưới chính quyền thuộc địa và bảo hộ của Pháp, vào cuối thế kỷ 19 tại Nam Kỳ và đầu thế kỷ 20 tại Bắc Kỳ và Trung Kỳ, vị thế của chữ Hán và chữ Nôm bắt đầu giảm sút. Chữ Quốc ngữ được chính quyền thuộc địa bảo hộ qua các nghị định được người Pháp ban ra với mục đich xóa bỏ chữ Hán và chữ Nôm.
- Hiện tại: Chữ Nôm và chữ Hán hiện nay không được giảng dạy đại trà trong hệ thống giáo dục phổ thông Việt Nam, tuy nhiên nó vẫn được giảng dạy và nghiên cứu trong các chuyên ngành về Hán-Nôm tại bậc đại học.
III. Những đặc trưng cơ bản của văn học chữ Nôm
- Chữ Nôm khắc họa tiếng việt một cách sâu sắc:
+ Điểm đầu tiên khiến văn học chữ Nôm trở thành một di sản văn hóa, là cách chữ Nôm đã khắc họa tài tình tiếng Việt, một ngôn ngữ giàu tính tượng hình và tượng thanh.
+ Chữ Nôm ra đời trong nỗ lực truyền tải ghi nhận thanh âm vần điệu của tiếng Việt một cách rõ nét nhất. Chữ Nôm được người Việt biến đổi từ âm Hán, nhưng thay vì đọc theo nghĩa Hán, người Việt đã gán nghĩa tiếng Việt vào chữ Nôm, khiến cho nó được dùng để mô tả lại âm sắc tiếng Việt.
Download MangaToon APP on App Store and Google Play